Welcome to MVS Blog
➥रसायन विज्ञान प्रश्न
Q1. त्वरित चूना क्या है?
उत्तर:- क्विक लाइम कैल्शियम ऑक्साइड (CaO) है
Q2. बुझा हुआ चूना क्या है?
उत्तर :- बुझा हुआ चूना कैल्शियम हाइड्रॉक्साइड Ca(OH)2 . है
Click to view viva questions of all subjects in Hindi
Click to view viva questions of all subjects in English
Q3. बुझे हुए चूने की प्रकृति क्या है?
उत्तर :- यह स्वभाव से बुनियादी है।
Q4. जब एक बीकर में पानी और बुझा चूना डाला जाता है तो आप क्या देखते हैं? क्या आप अभिक्रिया के प्रकार की पहचान कर सकते हैं?
उत्तर :- एक तेज और जोरदार प्रतिक्रिया स्थान। बीकर गर्म हो जाता है जो उसकी ऊष्माक्षेपी प्रकृति को दर्शाता है। यह एक संयोजन प्रतिक्रिया का एक उदाहरण है।
Q5. चूने को बुझाने में शामिल मूल रासायनिक अभिक्रिया लिखिए।
उत्तर :-
Q6. ताजा तैयार फेरस सल्फेट विलयन का रंग कैसा होता है? जलयोजित अवस्था में इसका सामान्य नाम बताइए।
उत्तर :- इसका रंग हल्का हरा होता है। इसे हरा विट्रियल कहा जाता है। रासायनिक सूत्र, FeSO4 7H2O
Q7.फेरिक सल्फेट विलयन का रंग कैसा होता है?
उत्तर:- यह हल्के भूरे रंग का होता है।
Q8. उस प्रकार की अभिक्रियाओं का नाम बताइए जो फेरस सल्फेट क्रिस्टल और कैल्शियम कार्बोनेट को गर्म करने पर होती हैं। इसमें शामिल संतुलित रासायनिक अभिक्रिया लिखिए। उत्तर:- ये अपघटन प्रतिक्रियाएं हैं।
उत्तर:-
Q9. नीला विट्रियल क्या है?
उत्तर:- यह कॉपर सल्फेट पेंटाहाइड्रेट, CuSO4 .5H2O है।
Q10.क्या आप कॉपर सल्फेट के घोल को लोहे के बर्तन में रख सकते हैं?
उत्तर :- नहीं, हम कॉपर सल्फेट को लोहे के बर्तन में नहीं रख सकते हैं क्योंकि आयरन अधिक प्रतिक्रियाशील होने के कारण कॉपर को विस्थापित कर देगा और आयरन सल्फेट में बदल जाएगा।
Q11.धातुओं की गतिविधि श्रृंखला से आप क्या समझते हैं?
उत्तर:- धातुओं की सूची एक क्रम में लिखी जाती है जहाँ सबसे अधिक प्रतिक्रियाशील धातु सबसे ऊपर होती है और सबसे कम प्रतिक्रियाशील होती है, अर्थात धातुएँ अपनी प्रतिक्रियाशीलता के अवरोही क्रम में व्यवस्थित होती हैं जिन्हें प्रतिक्रियाशीलता या धातुओं की गतिविधि श्रृंखला कहा जाता है।
Q12.किन्हीं दो धातुओं के नाम लिखिए जो लोहे से अधिक क्रियाशील हैं?
उत्तर:- सोडियम और एल्युमिनियम
Q13.अगर हरे रंग के फेरस सल्फेट के घोल में कॉपर फिलिंग मिला दी जाए तो आप क्या देखेंगे?
उत्तर:- हम कोई परिवर्तन या प्रतिक्रिया नहीं देखेंगे क्योंकि लोहे को उसके नमक के घोल से कम प्रतिक्रियाशील तांबे द्वारा विस्थापित नहीं किया जा सकता है।
Q14. मैग्नीशियम का एक टुकड़ा कॉपर सल्फेट के घोल में डाला जाता है। अपेक्षित अवलोकन क्या होगा?
उत्तर:- कॉपर सल्फेट विलयन (CuSO4) का नीला रंग फीका पड़ जाएगा और अंत में रंगहीन हो जाएगा। मैग्नीशियम का टुकड़ा लाल-भूरे रंग के लेप से ढक जाएगा।
Q15.यदि एक छात्र को Zn, Cu और Ag प्रत्येक धातु के तीन टुकड़े प्रदान किए जाते हैं। वह तनु एचसीएल का उपयोग करके हाइड्रोजन गैस तैयार करना किसे पसंद करेगा?
उत्तर:- छात्र हाइड्रोजन गैस का उत्पादन करने के लिए Zn धातु के टुकड़े का उपयोग करेगा क्योंकि हाइड्रोजन विज्ञापन की तुलना में केवल Zn अधिक प्रतिक्रियाशील है और इस प्रकार HCl से हाइड्रोजन को विस्थापित करेगा।
प्रश्न16. एसिटिक अम्ल के क्रियात्मक समूह का क्या नाम है?
उत्तर:-जैसा:- कार्बोक्जिलिक एसिड (-COOH)
Q17.सिरका क्या है?
उत्तर:- पानी में एसिटिक एसिड का 5 से 8% घोल सिरका के रूप में जाना जाता है।
प्रश्न18. एसिटिक अम्ल की अम्लता का क्या कारण है?
उत्तर:- जलीय माध्यम में एसिटिक एसिड आयन छोड़ता है, जो इसके अम्लीय चरित्र के लिए जिम्मेदार है। यह एक कमजोर एसिड है।
प्रश्न19. उद्योग में एसिटिक अम्ल के किन्हीं दो उपयोगों का उल्लेख कीजिए।
उत्तर:- (a) यह रबड़ उद्योग में एक कौयगुलांट के रूप में प्रयोग किया जाता है।
(b) खाद्य उद्योग में सिरका के रूप में उपयोग किया जाता है।
प्रश्न20. क्या होता है जब सल्फ्यूरिक एसिड की उपस्थिति में एसिटिक एसिड में इथेनॉल मिलाया जाता है। रासायनिक अभिक्रिया लिखिए।
उत्तर:- एक मीठा-महक वाला पदार्थ, एथिल एसीटेट बनता है। (CH3COOC2H5)।
Q21. एसिटिक एसिड युक्त परखनली में सोडियम बाइकार्बोनेट मिलाने पर कौन सी गैस निकलती है?
उत्तर:- Co2,कार्बोनडाइऑक्साइड गैस
Q22.शुद्ध एसिटिक अम्ल को ग्लेशियल एसिटिक अम्ल क्यों कहा जाता है?
उत्तर:- शुद्ध एसिटिक एसिड का हिमांक 16.6ºC होता है और यह ग्लेशियरों की तरह ही पानी में तैरता है। इस प्रकार उपस्थिति की समानता के कारण इसे ग्लेशियल एसिटिक एसिड कहा जाता है।
Q23.एस्टरीफिकेशन प्रतिक्रिया के दौरान हमें पानी के स्नान में प्रतिक्रिया मिश्रण को गर्म करने की आवश्यकता क्यों है?
उत्तर:- हमें इसकी दर बढ़ाने के लिए परावर्तन मिश्रण को गर्म करने की आवश्यकता है जो अन्यथा धीमा है। चूंकि मिश्रण में अल्कोहल होता है, यह अत्यधिक ज्वलनशील होता है, इसलिए हम पानी के स्नान का उपयोग करते हैं।
Q24.एस्टरीफिकेशन अभिक्रिया में सांद्र सल्फ्यूरिक अम्ल मिलाने की क्या आवश्यकता है?
उत्तर:- सान्द्र सल्फ्यूरिक अम्ल अभिक्रिया की दर को बढ़ाने के लिए उत्प्रेरक का कार्य करता है। इसके अलावा, यह एक निर्जलीकरण एजेंट विज्ञापन है, इसलिए यह उप-उत्पाद पानी को अवशोषित करता है, प्रतिवर्ती प्रतिक्रिया की दर को और अधिक आगे की दिशा में रखता है।
प्रश्न 25. क्या पानी कठोर बनाता है?
उत्तर:- पानी में Ca²+ और Mg²+ नमक की उपस्थिति इसे कठोर बनाती है।
प्रश्न 26 कठोर जल क्या है?
उत्तर:- वह जल जो साबुन के घोल से अच्छा झाग नहीं बनाता, कठोर जल कहलाता है।
प्रश्न 27. एक छात्र 5 मिली पानी में 1 मिली साबुन का घोल मिलाता है। वह परखनली के अंदर झागदार रूप देखता है। यह क्या दर्शाता है?
उत्तर:- साबुन से निकलने वाला झाग टेस्ट ट्यूब में लिए गए पानी की कोमलता को दर्शाता है।
Q28.यदि साबुन का घोल पानी के बजाय अल्कोहल (इथेनॉल) में बनाया जाता है, तो क्या हम उस घोल का उपयोग कपड़े के टुकड़े से ग्रीस को साफ करने के लिए कर सकते हैं?
उत्तर:- एल्कोहॉल में साबुन पूर्णतः विलेय होगा, अतः मिसेल नहीं बनेगा जिससे साबुन की सफाई क्रिया बाधित होगी। दूसरी ओर शराब अपने आप कुछ ग्रीस को घोल देगी और कपड़े के टुकड़े को साफ कर सकती है।
Q29.पानी की अस्थायी कठोरता को परिभाषित करें?
उत्तर:- बाइकार्बोनेट के रूप में कैल्शियम या मैग्नीशियम की उपस्थिति पानी की अस्थायी कठोरता का कारण बनती है।
Q30.इसे अस्थायी कठोरता क्यों कहा जाता है?
उत्तर:- इसे अस्थायी कठोरता कहा जाता है क्योंकि इसे छानने या अवसादन के बाद कठोर पानी को उबालकर आसानी से हटाया जा सकता है।
उबालने पर बाइकार्बोनेट अघुलनशील कार्बोनेट में विघटित हो जाते हैं जिन्हें निस्पंदन द्वारा अलग किया जा सकता है।
प्रश्न 31. जल की स्थायी कठोरता को किस प्रकार दूर किया जा सकता है?
उत्तर:- पानी की स्थायी कठोरता को सोडियम कार्बोनेट (Na2CO3) या वाशिंग सोडा के साथ उबालने से हटा दिया जाता है। क्लोराइड और सल्फेट्स को उबालने से अघुलनशील कार्बोनेट्स में बदल जाएगा, जो कि y निस्पंदन या अवसादन को हटा देता है।
Q32.कठोर जल के लिए प्रयोग करते समय। कौन सा अधिक रूप, साबुन, या डिटर्जेंट बनाएगा?
उत्तर:- डिटर्जेंट अधिक झाग बनाएगा। साबुन से झाग कम लेकिन मैल बनेगा।
Q33.पेट में एचसीएल की क्या भूमिका है?
उत्तर:- पेट में एचसीएल इसकी दीवार द्वारा छोड़ा जाता है और इसके दो महत्वपूर्ण कार्य होते हैं।
(i) एचसीएल हमारे द्वारा लिए गए भोजन में मौजूद जीवाणुओं को मारता है।
(ii) एचसीएल की मुख्य भूमिका पेट के पीएच मान को एंजाइमों के स्राव के लिए उपयुक्त बनाए रखना है
Click to view viva questions of all subjects in Hindi
Click to view viva questions of all subjects in English
➥ जीव विज्ञान प्रश्न
Q1.रंध्र में रक्षक कोशिकाओं का क्या कार्य है?
उत्तर:- रक्षक कोशिकाएं रंध्रों के खुलने और बंद होने को नियंत्रित/नियंत्रित करती हैं।
Q2.जड़ों में रंध्र अनुपस्थित क्यों होते हैं?
उत्तर:- चूंकि जड़ों में थोड़ा सा गैस विनिमय होता है इसलिए उनमें रंध्र मौजूद नहीं होते हैं।
Q3.प्रत्येक रंध्र बीन के आकार की दो कोशिकाओं से घिरा होता है। वे क्या कहलाते हैं?
उत्तर:- उन्हें गार्ड सेल कहा जाता है।
Q4. द्विबीजपत्री पत्तियों की किस सतह पर अधिक रंध्र उपस्थित होते हैं?
उत्तर:- पत्तियों की निचली सतह यानी निचली एपिडर्मिस पर।
Q5. वाष्पोत्सर्जन क्या है?
उत्तर:- पत्तियों की सतह से वाष्प के रूप में जल की हानि वाष्पोत्सर्जन कहलाती है।
प्रश्न6. रंध्र के आधार पर एकबीजपत्री अवकाश और द्विबीजपत्री अवकाश की पहचान कैसे की जाएगी?
उत्तर:- एकबीजपत्री के पत्तों पर पहरा डंबल-बेल के आकार का होता है जबकि द्विबीजपत्री के पत्तों में वे गुर्दे के आकार या बीन के आकार के होते हैं।
Q7. द्विबीजपत्री पौधों में रंध्रों के लिए पत्तियों का कौन-सा भाग देखना चाहिए?
उत्तर:- द्विबीजपत्री पत्ती के दोनों ओर रंध्र मौजूद होते हैं।
Q8. स्टोमेटल उपकरण के क्या कार्य हैं?
उत्तर:- रंध्रों के कार्य हैं:
(a) श्वसन और प्रकाश संश्लेषण के दौरान गैसों के आदान-प्रदान के लिए।
(b) पानी के नुकसान के लिए वाष्पोत्सर्जन के दौरान।
प्रश्न 9. क्या रक्षक कोशिकाओं में कठोर या लोचदार दीवारें होती हैं? अपने उत्तरों का औचित्य सिद्ध कीजिए।
उत्तर:- रक्षक कोशिकाओं में बाहरी तरफ की तुलना में अंदर की तरफ मोटी कोशिका भित्ति होती है। यह खोलने और बंद करने के दौरान उनके लचीलेपन को जोड़ता है।
Q10. शिरापरक को परिभाषित करें।
उत्तर:- पत्ती के लैमिना में शिराओं के पैटर्न को शिराविन्यास कहा जाता है। कुछ पौधों में एकबीजपत्री में समानांतर शिराविन्यास होता है और अन्य (डिकोट्स) में नेटवर्क प्रकार का शिराविन्यास (रेटिकुलेट) होता है।
प्रश्न11. प्रकाश संश्लेषण और श्वसन में अंतर बताइए।
उत्तर:-
| श्वसन (Respiration) | प्रकाश संश्लेषण(Photosynthesis) |
| (a) यह एक अपचयन क्रिया है। | (a) यह एक उपचयन क्रिया है। |
| (b) इसमें ग्लूकोज का ऑक्सीकरण होता है। | (b) इसमें ग्लूकोज का संश्लेषण होता है। |
| (c) इसमें ऑक्सीजन का उपयोग होता है। | (c) इसमें का उपयोग होता है। |
| (d) यह जीवधारियों में ऊर्जा उत्पादन का एकमात्र जैविक प्रक्रम है। | (d) यह भोजन उत्पादन का एकमात्र जैविक प्रक्रम है। |
| (e) इसके अंत में मुक्त होती है। | (e) इसके अंत में ऑक्सीजन मुक्त होती है। |
Q12. कैटोबोलिक प्रक्रिया से आप क्या समझते हैं?
उत्तर:- अपचय का अर्थ है चयापचय गतिविधियों जिसमें कोशिकाओं में ग्लूकोज जैसे जटिल पदार्थों का टूटना सरल पदार्थ (H2O और CO2) होता है।
Q13.श्वास को परिभाषित करें।
उत्तर:- ऑक्सीजन के साँस लेने और कार्बन डाइऑक्साइड को छोड़ने की शारीरिक प्रक्रिया को श्वास कहा जाता है।
Q14.किण्वन को परिभाषित कीजिए।
उत्तर:- यह एक प्रकार का अवायवीय श्वसन है। यह सह-उत्पाद के रूप में CO2 भी छोड़ता है।
प्रश्न15. हम श्वसन को प्रदर्शित करने के लिए अंकुरित बीजों का उपयोग क्यों करते हैं लेकिन पौधे की हरी पत्तियों का नहीं।
उत्तर:- अंकुरित बीजों का तेजी से विकास होता है इसलिए वे सक्रिय रूप से श्वसन करते हैं। दूसरी ओर, पौधे की हरी पत्तियों में श्वसन के साथ-साथ प्रकाश संश्लेषण भी होता है। इस प्रकार यह श्वसन के दौरान उत्पन्न CO2 का उपयोग करेगा, इसलिए CO2 की उपस्थिति का ठीक से पता नहीं लगाया जा सकता है।
Q16. इस प्रयोग में KOH की क्या भूमिका है?
उत्तर:- KOH उत्पादित CO2 को अवशोषित करता है जिससे फ्लास्क में आंशिक निर्वात बनता है।
Q17. अंकुरित बीजों को क्यों सिक्त किया जाता है ताकि वे सूख न जाएं और नमी की मदद से श्वसन जारी रखें।
उत्तर:- बीजों को सिक्त किया जाता है ताकि वे सूख न जाएं और नमी की मदद से सांस लेना जारी रखें।
Q18.श्वसन के लिए कच्चा माल क्या है?
उत्तर:- शर्करा और ऑक्सीजन।
Q19.श्वसन में होने वाली रासायनिक अभिक्रिया लिखिए।
उत्तर:-
प्रश्न20. एटीपी का फुल फॉर्म क्या होता है।
उत्तर:- एडेनोसिन ट्राइफॉस्फेट, यह एक ऊर्जा युक्त अणु है।
प्रश्न 21. अलैंगिक प्रजनन क्या है?
उत्तर:- यह प्रजनन का एक तरीका है जिसमें एक जीव विशेष कोशिका (युग्मक) के निर्माण के बिना नए जीवों का निर्माण करता है। एक अकेला माता-पिता दो या दो से अधिक व्यक्तियों को पैदा करता है।
Q22.विखंडन और विखंडन के प्रकार को परिभाषित करें।
उत्तर:- प्रजनन का एक तरीका जब कोई जीव दो या दो से अधिक शाखाओं में विभाजित हो जाता है। मूल जीव दो या अधिक शाखाओं में विभाजित हो जाता है। मूल जीव दो या दो से अधिक भागों में विभाजित हो जाता है। विखंडन दो प्रकार का होता है।
(a) बाइनरी विखंडन: जीव दो बेटी कोशिकाओं में विभाजित होता है।
(b) एकाधिक विखंडन: जीव दो या दो से अधिक व्यक्तियों में विभाजित होता है।
Q23.एक ऐसे जीव का नाम बताइए जो कई विखंडन से विभाजित होता है?
उत्तर:- प्लाज्मोडियम (मलेरिया परजीवी)
Q24.अमीबा में कितने विखंडन होते हैं?
उत्तर:- अमीबा की एक परिपक्व कोशिका कैरियोकिनेसिस से गुजरती है (यानी पहले केंद्रक का विभाजन और उसके बाद साइटोकाइनेसिस (यानी साइटोप्लाज्म का विभाजन) जिसके परिणामस्वरूप दो बेटी कोशिकाओं का निर्माण होता है। माता-पिता अमीबा कोशिका ऐसे विभाजन में अपनी पहचान खो देती है।
Q25.वानस्पतिक प्रसार क्या है?
उत्तर:- इसके वानस्पतिक भागों जैसे पत्ती, जड़ या तना से पौधों को उगाना वानस्पतिक प्रवर्धन के रूप में जाना जाता है। यह प्रजनन की एक अलैंगिक विधा है।
Q.26 क्या यीस्ट में बडिंग हाइड्रा से अलग है? आपने जवाब का औचित्य साबित करें।
उत्तर:- यीस्ट में, मूल यीस्ट कोशिका पर उभार के रूप में नवोदित होता है। यह अलग हो सकता है या अलग नहीं हो सकता है और आगे कई बेटी कलियों में विकसित हो सकता है। हाइड्रा में, बार-बार माइटोटिक कोशिका विभाजन के कारण कली अलग हो जाती है और यह एक बहुकोशिकीय एकल जीव है।
Q27.बाइनरी विखंडन में किस प्रकार का कोशिका विभाजन शामिल है?
उत्तर:- गुणसूत्रों की संख्या के रूप में समसूत्रीविभाजन समान रहता है।
प्रश्न 28. यौन विज्ञापन अलैंगिक प्रजनन के बीच अंतर के बिंदुओं का उल्लेख करें।
उत्तर:-
| अलैंगिक जनन | लैंगिक जनन |
|---|---|
| (a) केवल एक जनक शामिल होता है | (i) प्रायः दो जनक शामिल होते हैं |
| (b) युग्मक नहीं बनते | (ii) युग्मक बनते हैं |
| (c) निषेचन नहीं होता और युग्मनज निर्माण नहीं होता | (iii) निषेचन और युग्मनज-निर्माण प्रायः होता है |
| (d) इस जनन के दौरान किसी भी अवस्था में अर्धसूत्री विभाजन नहीं होता | (iv) युग्मक-निर्माण के दौरान अर्धसूत्री विभाजन होता है |
Click to view viva questions of all subjects in Hindi
Click to view viva questions of all subjects in English
➥ भौतिक विज्ञान प्रश्न
Q1. ओम का नियम बताइए।
उत्तर:- ओम के नियम (Ohm’s Law) के अनुसार यदि ताप आदि भौतिक अवस्थायें नियत रखीं जाए तो किसी प्रतिरोधक (या, अन्य ओमीय युक्ति) के सिरों के बीच उत्पन्न विभवान्तर उससे प्रवाहित धारा के समानुपाती होता है। R, को युक्ति का प्रतिरोध कहा जाता है।
Q2. क्या ओम का नियम सभी पदार्थों के लिए सत्य है?
उत्तर:- यह इलेक्ट्रॉनिक उपकरणों और गैर-ओमिक प्रतिरोध के लिए अच्छा नहीं है। सेमी-कंडक्टर डायोड की तरह।
Q3. ईएमएफ और सेल के संभावित अंतर का क्या मतलब है?
उत्तर:- किसी सेल के टर्मिनलों के बीच मौजूद अधिकतम संभावित अंतर जब सेल से कोई धारा नहीं खींची जाती है, ई.एम.एफ. (इलेक्ट्रोमोटिव बल) कोशिका का। दूसरी ओर, जब सेल से करंट खींचा जा रहा है, तो टर्मिनलों के बीच या उनके बीच मौजूद संभावित अंतर को टर्मिनल संभावित अंतर या संभावित अंतर कहा जाता है।
Q4. संभावित अंतर को परिभाषित करें। बताएं कि क्या किसी सेल का संभावित अंतर उसके ई.एम.एफ से छोटा है।
उत्तर:- जब एक इकाई आवेश (1 कूलम्ब) एक परिपथ में एक बिंदु से दूसरे बिंदु पर प्रवाहित होता है तो किए गए कार्य की मात्रा।
संभावित अंतर ई.एम.एफ. इसका उपयोग किसी सेल के आंतरिक प्रतिरोध पर काबू पाने में किया जाता है जब उसमें से करंट खींचा जाता है।
Q5. विद्युत धारा क्या है?
उत्तर:- किसी चालक के माध्यम से आवेश या इलेक्ट्रॉनों के प्रवाह की दर को विद्युत धारा कहते हैं। इसका SI मात्रक एम्पीयर (A) है।
Q6. इलेक्ट्रिक सर्किट में तांबे के तार का उपयोग क्यों किया जाता है?
उत्तर:- ताँबा धातु विद्युत की बहुत अच्छी सुचालक होती है। इसमें करंट का संचालन करने के लिए कई मुक्त इलेक्ट्रॉन होते हैं। यह बहुत महंगा भी नहीं है।
Q7. एमीटर क्या है? इसकी अल्पतमांक से आप क्या समझते हैं?
उत्तर:- एक एमीटर एक बंद सर्किट में बहने वाले विद्युत प्रवाह के परिमाण को मापने के लिए एक उपकरण है। एक एमीटर हमेशा श्रृंखला में जुड़ा होता है।
किसी भी उपकरण या यंत्र की कम से कम गिनती से हमारा मतलब उस पैमाने की न्यूनतम मात्रा से है जिसे उस उपकरण में सटीक रूप से पढ़ा जा सकता है। एक एमीटर के लिए, कम से कम गिनती वर्तमान की न्यूनतम मात्रा है जिसे वह माप सकता है।
Q8. बैटरी एलिमिनेटर क्या है?
उत्तर:- एक बैटरी एलिमिनेटर एसी करंट को लो वोल्टेज डीसी करंट में बदलता है।
Q9. वोल्टमीटर क्या है?
उत्तर:- यह एक ऐसा उपकरण है जिसका उपयोग करंट ले जाने वाले सर्किट में दो बिंदुओं के बीच संभावित अंतर को मापने के लिए किया जाता है।
Q10. वोल्टमीटर को हमेशा समानांतर में क्यों जोड़ा जाता है?
उत्तर:- एक वाल्टमीटर में बहुत अधिक प्रतिरोध होता है, इसलिए यह समानांतर सर्किट में थोड़ी मात्रा में करंट की अनुमति देगा और इस प्रकार यह सही सर्किट माप में हस्तक्षेप नहीं करेगा।
Q11.प्रतिरोध को परिभाषित कीजिए।
उत्तर:- जब धारा प्रवाहित होती है तो चालक द्वारा धारा के सामान्य प्रवाह में बाधा या विरोध को प्रतिरोध कहा जाता है। इसका SI मात्रक ओम (Ω) है।
Q12.एक चालक के प्रतिरोध पर तापमान का क्या प्रभाव पड़ता है?
उत्तर:- तापमान में वृद्धि के साथ अधिकांश धात्विक कंडक्टरों का प्रतिरोध बढ़ जाता है।
Q13.एक चालक की लंबाई और सतह क्षेत्र का उसके प्रतिरोध के साथ संबंध बताइए।
उत्तर:- प्रतिरोध कंडक्टर की लंबाई के सीधे आनुपातिक है और क्रॉस-सेक्शन के क्षेत्र के व्युत्क्रमानुपाती है।
उत्तर:- ओम का नियम कहता है कि यदि तापमान जैसी भौतिक स्थितियाँ स्थिर रहती हैं या समान रहती हैं तो किसी चालक से प्रवाहित होने वाली धारा (I) सिरों पर लगाए गए संभावित अंतर (V) के सीधे आनुपातिक होती है।
ie v i
or V = IR
जहाँ R = चालक का प्रतिरोध
जहां, आर = प्रतिरोध (Ω), एल = कंडक्टर की लंबाई (मीटर में), ए = एम² में क्रॉस-सेक्शन का क्षेत्र = प्रतिरोधकता (ओम-मीटर)
Q14.यदि रोशनी (लैंप) को श्रृंखला में जोड़ा जाए तो क्या दोष है?
उत्तर:- मुख्य दोष यह है कि यदि एक लैंप फ्यूज हो जाता है तो बाकी लैंप भी काम करना बंद कर देंगे क्योंकि वर्तमान आपूर्ति बंद हो जाएगी या वर्तमान आपूर्ति बंद हो जाएगी या डिस्कनेक्ट हो जाएगी।
Q15. रीडिंग या ऑब्जर्वेशन नोट होते ही हमें कुंजी से प्लग को हटाने की सलाह क्यों दी जाती है?
उत्तर:- हमें ऐसा करने की सलाह दी जाती है क्योंकि सर्किट के माध्यम से प्रवाह की लंबी अवधि के कारण कंडक्टर तार गर्म हो जाएगा जिससे इसका प्रतिरोध बढ़ जाएगा, जिससे रीडिंग में त्रुटि होगी।
Q.16. क्या समानांतर संयोजन का तुल्य प्रतिरोध व्यक्तिगत प्रतिरोध से अधिक है?
उत्तर:- नहीं, यदि श्रृंखला में या अलग से रखा जाए तो इसका मान व्यक्तिगत प्रतिरोध से छोटा होता है।
Q17.कम प्रतिरोध वाले रिओस्टेट का उपयोग क्यों किया जाता है?
उत्तर:- कम प्रतिरोध का एक रिओस्टेट प्रतिरोध में बड़े बदलाव के लिए विकल्प खुला रखता है इस प्रकार सर्किट में कई तरह के वर्तमान प्रवाह को कई रीडिंग लेने का कारण बनता है।
Q18. यदि दो प्रतिरोधक जिनका प्रतिरोध क्रमशः 3Ω और 4Ω है, को समानांतर में जोड़ा जाता है, तो परिपथ में शुद्ध प्रतिरोध क्या होगा?
उत्तर:- दिए गए प्रतिरोधक 3Ω और 4Ω . के हैं
मान लें कि दोनों का शुद्ध प्रतिरोध R है, फिर शुद्ध प्रतिरोध की गणना निम्न प्रकार से करें |
R ≈1.71 Ω
अतः परिपथ का शुद्ध प्रतिरोध लगभग 1.71 . है
Q19. प्रकाश की किरण का क्या होता है जो लेंस के प्रकाशिक केंद्र से होकर गुजरती है।
उत्तर:- लेंस के प्रकाशिक केंद्र से गुजरने वाली प्रकाश की किरण अपने पथ से विचलित नहीं होती है।
प्रश्न20. किसी वस्तु को उभयलिंगी लेंस के सामने F1 और F2 के बीच रखने पर बनने वाले प्रतिबिम्ब की प्रकृति बताइए।
उत्तर:- प्रतिबिम्ब 2F1 के आगे बनेगा और यह वास्तविक, उल्टा और आवर्धित होगा।
प्रश्न 21. विचलन के कोण को परिभाषित करें।
उत्तर:- प्रकाश किरण के अपवर्तन में आपतित और निर्गत किरणों के बीच के कोण को विचलन कोण कहते हैं।
प्रश्न 22. निर्गत किरण के कोण को परिभाषित कीजिए।
उत्तर:- कांच के प्रिज्म के भीतर अपवर्तन से गुजरने के बाद प्रकाश की किरण प्रिज्म के विपरीत चेहरे से निकलती है जहां से वह प्रवेश करती है उसे निर्गत किरण कहा जाता है।
Q23.यदि रोशनी (लैंप) को श्रृंखला में जोड़ा जाता है तो क्या दोष है?
उत्तर:- मुख्य दोष यह है कि यदि एक लैंप फ्यूज हो जाता है तो बाकी लैंप भी काम करना बंद कर देंगे क्योंकि वर्तमान आपूर्ति बंद हो जाएगी या वर्तमान आपूर्ति बंद हो जाएगी या डिस्कनेक्ट हो जाएगी।
प्रश्न 24. रीडिंग या प्रेक्षणों को नोट करते ही हमें कुंजी से प्लग को हटाने की सलाह क्यों दी जाती है?
उत्तर:- हमें ऐसा करने की सलाह दी जाती है क्योंकि सर्किट के माध्यम से प्रवाह की लंबी अवधि के कारण कंडक्टर तार गर्म हो जाएगा जिससे इसका प्रतिरोध बढ़ जाएगा, जिससे रीडिंग में त्रुटि होगी।
Q25.क्या समानांतर संयोजन का तुल्य प्रतिरोध व्यक्तिगत प्रतिरोध से अधिक है?
उत्तर:- नहीं, यदि श्रृंखला में या अलग से रखा जाए तो इसका मान व्यक्तिगत प्रतिरोध से छोटा होता है।
Q26.कम प्रतिरोध वाले रिओस्टेट का उपयोग क्यों किया जाता है?
उत्तर:- कम प्रतिरोध का रिओस्टेट प्रतिरोध में बड़े बदलाव के लिए विकल्प खुला रखता है जिससे सर्किट में कई तरह के करंट प्रवाह को कई रीडिंग लेनी पड़ती है।
Q27.एक आयताकार कांच के स्लैब के मामले में आपतित और निर्गत किरणें एक दूसरे के समानांतर क्यों होती हैं?
उत्तर:- चूंकि आपतन कोण i निर्गत कोण के बराबर है, इसलिए ∠e दोनों किरणें एक दूसरे के समानांतर हैं।
Q28.स्नेल का अपवर्तन का नियम बताइए?
उत्तर:- स्नेल के नियम के अनुसार, अपवर्तन कोण की ज्या का अनुपात किसी दिए गए रंग की प्रकाश किरण के लिए और मीडिया के दिए गए जोड़े के लिए एक स्थिरांक होता है।

µ = स्थिरांक, जिसे अपवर्तनांक भी कहा जाता है।μ
Q29.प्रकाश का पार्श्व विस्थापन क्या है?
उत्तर:- पार्श्व विस्थापन वह दूरी है जिससे आपतित किरण बिना झुके या खिसके प्राकृतिक रूप से बाहर निकलते समय एक ओर खिसक जाती है। इसका अपवर्तन कोण शून्य होगा।
Q30. प्रकाश की किरण काँच के स्लैब पर सामान्य रूप से आपतित होती है। निर्गत किरण का क्या होगा?
उत्तर:- पथ का कोई विचलन नहीं होगा और निर्गत किरण वही होगी जो आपतित किरण है, जो बिना किसी झुकाव के सामान्य रूप से बाहर निकलती है। इसका अपवर्तन कोण शून्य होगा।
Q 31. सघन माध्यम में यात्रा करने वाली प्रकाश की किरण विरल माध्यम की सतह से मिलती है। यह कैसे झुकेगा?
उत्तर:- घटना के बिंदु पर दूसरे (दुर्लभ) माध्यम में प्रवेश करते समय किरण अभिलंब से दूर झुक जाएगी।
Q 32. विचलन के कोण को परिभाषित करें।
उत्तर:- यह आपतित किरण और निर्गत किरण के बीच का कोण है, इसे ‘d’ या D या द्वारा दर्शाया जाता है।
Q33. विबग्योर में किस रंग की तरंगदैर्घ्य सबसे अधिक होती है?
उत्तर:- लाल रंग।
Q34. प्रिज्म से परिक्षेपण के बाद बाहर निकलते समय कौन सा रंग सबसे अधिक मुड़ता है?
उत्तर:- बैंगनी रंग।
Q35.विक्षेपण का क्या कारण है?
उत्तर:- कांच के माध्यम से गुजरते समय विभिन्न रंगों के अलग-अलग वेग होते हैं। उनके अलग-अलग अपवर्तनांक (µ) हैं। इसलिए प्रिज्म के भीतर प्रत्येक रंग के विचलन की मात्रा भी भिन्न होती है। अतः श्वेत प्रकाश की किरण का परिक्षेपण होता है।
Q36. एक ऑप्टिकल ग्लास प्रिज्म के i (घटना कोण) और ∠A (प्रिज्म का कोण) के बीच संबंध बताएं।
उत्तर:- i + e = A +
जहाँ i = आपतन कोण, e = अभिसरण कोण, ∠A = प्रिज्म का कोण, = विचलन का कोण
प्रश्न 37. क्या आप समझा सकते हैं कि कांच के स्लैब से प्रकाश के अपवर्तन के मामले में कोई फैलाव क्यों नहीं देखा जाता है?
उत्तर:- एक कांच का स्लैब दो समान आकार और आकार के प्रिज्म का संयोजन होता है जो उनकी सतहों पर विपरीत रूप से व्यवस्थित होता है। यहां प्रकाश की एक किरण पहले स्लैब के भीतर बिखर जाती है, लेकिन बाहर निकलते समय फिर से अपने घटक रंगों से सफेद प्रकाश के एकल बीम में पुन: संयोजित हो जाती है।
Q38. एक समबाहु प्रिज्म में, निर्गत कोण ज्ञात कीजिए, यदि आपतन कोण 30° और विचलन कोण 28° है।
उत्तर:- आपतित कोण i, विचलन कोण , निर्गत कोण e और प्रिज्म A के बीच संबंध किसके द्वारा दिया गया है
चूँकि प्रिज्म समबाहु है, इसलिए प्रिज्म का कोण ∠A = 60°
i + e = A +
हमें आपतित कोण ∠i = 30°, विचलन कोण ∠δ=28° . दिया गया है
30° + e = 60° + 28°
e =88° – 30° = 58°
अत: निर्गत कोण = 58°
Q38.उत्तल लेंस द्वारा आभासी छवि प्राप्त करने के लिए किसी वस्तु को कहाँ रखा जाना चाहिए?
उत्तर:- आभासी प्रतिबिम्ब प्राप्त करने के लिए वस्तु को उत्तल लेंस के प्रकाशिक केन्द्र तथा केन्द्र बिन्दु के बीच रखना चाहिए।
Q39.किसी वस्तु का वास्तविक और बड़ा प्रतिबिम्ब प्राप्त करने के लिए उत्तल लेंस के सामने उसे कहाँ रखा जाना चाहिए?
उत्तर:- वास्तविक और बड़ा प्रतिबिंब प्राप्त करने के लिए वस्तु को उत्तल लेंस के केंद्र बिंदु से परे बिंदु पर रखा जाना चाहिए।
Q40. कंडक्टर की सामग्री की प्रतिरोधकता या विशिष्ट प्रतिरोध क्या है?
उत्तर:- एक कंडक्टर के विशिष्ट प्रतिरोध या प्रतिरोधकता को एक इकाई लंबाई और इकाई क्रॉस क्षेत्र के कंडक्टर के प्रतिरोध के रूप में परिभाषित किया जाता है। इसकी इकाई ओम-मीटर है।
Q41. तुल्य प्रतिरोध क्या है?
उत्तर:- समतुल्य प्रतिरोध श्रृंखला या समानांतर संयोजनों में रखे जाने पर प्रतिरोध के समूह द्वारा प्रस्तुत अंतिम परिणामी प्रतिरोध है।
Q42.श्रृंखला में रखे जाने पर प्रतिरोधों 1Ω, 3Ω और 2.5Ω के समतुल्य प्रतिरोध का पता लगाएं।
उत्तर:- माना शुद्ध प्रतिरोध R . है
आर = 1 + 3 + 2.5 = 6.5Ω
प्रश्न 43. समतल दर्पण द्वारा बनने वाले प्रतिबिम्ब की प्रकृति कैसी होती है?
उत्तर:- आभासी और खड़ी
Q44.उत्तल लेंस द्वारा किस प्रकार का प्रतिबिम्ब बनता है?
उत्तर:- आभासी और आवर्धित जब वस्तु को प्रकाशिक केंद्र और फोकल बिंदु के बीच रखा जाता है और वास्तविक और उल्टा जब वस्तु को मुख्य फोकस पर अन्य बिंदुओं पर रखा जाता है।
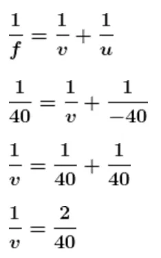
Q45.एक बिंदु वस्तु को 40 सेमी फोकस दूरी के उत्तल दर्पण से 40 सेमी की दूरी पर रखा जाता है, दर्पण से उसके द्वारा बनाए गए प्रतिबिम्ब की दूरी ज्ञात कीजिए।
उत्तर:- दर्पण से वस्तु की दूरी, u = -40 सेमी
उत्तल दर्पण की फोकस दूरी f = 40 cm
माना दर्पण से बने प्रतिबिम्ब की दूरी = v
दर्पण सूत्र का उपयोग करना |
V = 20
अतः दर्पण का प्रतिबिम्ब दर्पण के पीछे 20 सेमी की दूरी पर बनेगा
प्रश्न 46. 15 सेमी फोकस दूरी का अवतल दर्पण अपने सामने रखी वस्तु का आवर्धित, सीधा और उल्टा प्रतिबिम्ब बना सकता है। प्रतिबिंब प्राप्त करने के लिए दोनों स्थितियों में दर्पण के ध्रुव के संबंध में वस्तु की स्थिति बताते हुए इस कथन की पुष्टि करें।
उत्तर:- आवर्धित और खड़ी छवि प्राप्त करने के लिए वस्तु को दर्पण के केंद्र बिंदु और ध्रुव के बीच रखा जाता है और आवर्धित और सीधा प्रतिबिम्ब प्राप्त करने के लिए वस्तु को केंद्र बिंदु पर या केंद्र बिंदु और ध्रुव के बीच रखा जाता है।
प्रश्न 47. मानव आँख में रेटिना का क्या कार्य है?
उत्तर:- मानव आंख में रेटिना एक स्क्रीन के रूप में कार्य करता है जिस पर वस्तु की छवि बनती है, रेटिना प्रकाश-संवेदनशील कोशिकाओं से बनी होती है जिन्हें छड़ और सी के रूप में जाना जाता है |
Click to view viva questions of all subjects in Hindi
5 Response